Multi-Dimensional Supernovae Models and the Prediction of Observables from Different Explosion Mechanisms

 

Macroscopic phenomena in nature - in astrophysics and on Earth - often originate from the interaction of tightly coupled microscopic processes with different characteristic length and time scales. We develop efficient transport/hydrodynamics algorithms in the context of gravitational collapse and supernova explosions. A reliable numerical link between the input physics and the observables in distant astrophysical objects provides new information about matter under otherwise inaccessible conditions, or vice versa, allows the prediction of a large-scale evolution based on well-known input physics.

Why Supernovae?

Why are supernova explosions fascinating astrophysical events? The variety of possible answers is large. Let us list just five reasons:

 

  1. Long history: Supernova observations have history and date back several thousand years. Chinese Astronomers already reported "guest stars", e.g. in 185 A.D.. Another famous Supernova was observed in 1006. It was reported to be more luminous than a quarter of the moon. Further prominent observations were recorded in 1054, 1572 and 1604. And since the systematic search of Zwicky and Baade in the 1930's , innumerable supernova observations have been registered. The energy liberated in core collapse is tremendeous, it streams away at a rate of a few times 10^53 erg/s in the form of neutrinos (10^7 erg/s = 1 Watt). The electromagnetic luminosity of ~10^48 erg/s can outshine the whole galaxy, about 10^41 erg/s is in the visible range. Baade and Zwicky speculated correctly: "In the supernova process mass in bulk is annihilate

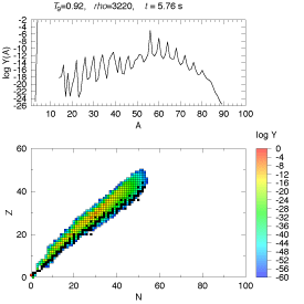
  2. Many observations: In the mean time, powerful telescopes amplify the sensitivity of supernova recordings and the observations extend to very distant galaxies. The classification of supernovae is based on the most basic observation: the lightcurve and its time-dependent spectral information. In some events, the velocities and composition of the ejecta can be measured and spectropolarimetry helps to determine the global asymmetry in the explosion geometry. Mixing between the different ejected stellar layers needs to be considered to interpret the measurements. The lightcurve is formed in the outer layers long after the time when the explosion was launched close to the center of the star. The recombination of hydrogen releases trapped radiation, followed by the decay of ejected 56Ni to 56Co on a timescale of 6 days and 56Co to 56Fe on a timescale of 77 days. Neutrinos, that interact only weakly with matter and therefore have a long mean free path, can help to observationally constrain the evolution of the deep layers. The most direct observational evidence of a core collapse has been produced by the first detection of neutrinos from SN1987A in the large Magellanic cloud at detectors in Kamioka, IMB and Baksan. We look forward to future and more detailed neutrino recordings from galactic supernova explosions. Other observations focus on the information imprinted on the environment of past supernova events. The expanding shell of the shocked interstellar medium around the explosion can be observed over thousands of years and a central object may reveal its presence in the form of a pulsar, an accreting neutronstar or a black hole. The velocity distribution of the neutron stars and the geometry of the supernova remnant with respect to a possible central object give further clues on the asymmetry in the explosion. Last but not least, the explosion mechanism is likely to affect the composition of ejected matter. Metal-poor stars formed in the environment of an early supernova explosion may have been contaminated by the ejecta of just one supernova event. The analysis of the spectra of the contaminated star allows a quantitative reconstruction of the composition of the ejecta for many more events than the direct observation of closeby supernovae would have allowed. On more metal-rich stars, the ejecta of multiple supernova events have merged during galactic evolution. The mixed composition should explain the solar abundance pattern together with possible other astrophysical events contributing to the galactic nucleosynthesis.

  3. Rich theory: One distinguishes at least two fundamental types of supernovae: thermonuclear explosions initiated from a white dwarf stage; or the explosive ejection of outer layers in the aftermath of the collapse of the inner stellar core. Core collapse is inevitable when the energy generation by nuclear fusion at the center of the star dies away because the nuclei have reached the configuration with maximum binding energy. Many different fields of physics contribute to the understanding of stellar core collapse and the subsequent supernova explosion: Involved are at the beginning stellar evolution theory for the progenitor model and nuclear and weak interaction physics in experimentally accessible and inaccessible regimes: e.g. the equation of state which determines the composition and pressure as a function of the thermodynamical conditions, the properties of weak interactions with heavy nuclei during collapse, the phase transition from isolated nuclei to bulk nuclear matter shortly before bounce, the compact object at the center of the event where nuclear densities are exceeded, relativistic fluid dynamics in curved space-time, neutrino radiation transport and magneto-hydrodynamics in a convectively unstable hot plasma surrounding the compact object, the nucleosynthesis of the ejecta and the formation of the light curve, and finally the galactic evolution resulting from the superposition of ejecta from many different supernova explosions. Matter is subject to extreme conditions that cannot be attained in terrestrial experiments. 

  4. Open questions: In spite of the long time since the basic energy source of supernovae has been identified with the gravitational energy of collapsing stars and in spite of the many supernova observations recorded since then, supernova simulations have still great difficulty to reproduce the event based on known physics and within the technical limitations set by current computer hardware. And even as more supernova models succeed in explaining the explosion itself, it will still be a long way to coherently and quantitatively understand the event that connects the stellar evolution to an essential part of element production in the galactic evolution. How important is the heating by emitted neutrinos behind the shock, where do fluid instabilities modify the transport processes, what is the role of small rotation and magnetic fields, how does the neutronstar receive a kick velocity, what geometrical shape does the explosion take in different phases, how are other observables formed, like e.g. gravitational waves, etc.? 

  5. Human timescale (of the event - of course - not the simulations!): The supernova "event" is a real event. Many allegations to human life can be made and an action-loaded terminology is used in popular science articles (e.g. in "the end of a stars life", "nuclear fuel" (star = working engine), "collapse", "shock", "burst", "breakout", "explosion", "nascent neutronstar"). And indeed, most of these stages are perceived as dramatic because they occur on human time scales, reaching from milliseconds to weeks. With an extremely generous portion of luck, one could even observe a supernova in our galaxy without any special equipment . Moreover, many materials in our daily life rely on heavy elements that are believed to have once been synthesized in supernova explosions.

 

To top